Our Technology
Drug discovery is difficult and increasingly complex
90% of the 4.1 trillion in annual health care expenditures are for people with complex chronic conditions.
Many of the familiar diseases are difficult to treat because they are chronic, progressive, and multifaceted.
The right model leads to the right drugs
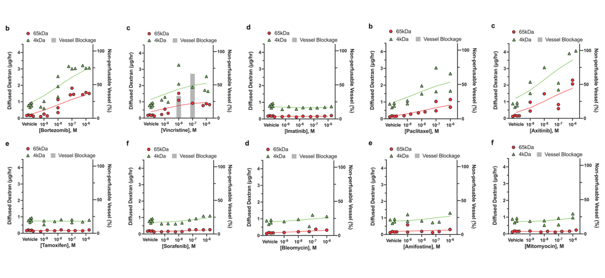
Traditional preclinical models are no long adequate for complex chronic disease.
Even the largest animal provider, Charles River Laboratory, is betting big on tissue models by investing over $300 million in the next five years to develop animal alternatives.
To develop the right drug, we will need the right model.
Tissue models that resemble the structure of native tissues
No synthetic scaffolds, plastic membranes, or microfluidic channels that get in the way of cells. An entirely hydrogel-based system that allows cells to freely interact, assemble, and remodel their microenvironment.
We are developing tissue models that resembles the structure of native tissues so that complex biological process and tissue niche can be accurately recapitulated.







